Caractériser l’état de mer grâce aux antennes GNSS

Recherche Ingénierie marine, Numérique

Lancé fin octobre 2025, le projet RINGOS réunit des chercheurs de l’ENSTA, de l’Université de la Rochelle et du CNES ainsi que des équipes du SHOM. L’ambition est de s’appuyer sur les antennes GNSS déjà présentes sur les rives et à bord des navires pour mesurer la surface de mer (hauteur d’eau) et, à terme, l’état de mer (vagues, houle).

L’état de mer est une donnée clé de navigation complexe à mesurer. Les données actuelles sont issues de bouées, de mesures radar ou encore de capteurs à pression. 

L’intérêt de ce projet est de travailler sur une mesure d’opportunité. Le système GNSS* est déjà utilisé pour le guidage de navire, la géophysique… l’intérêt est donc de pouvoir s’appuyer sur des dispositifs existants, à terre ou sur des navires. Nous analyserons la puissance des signaux mesurés qui contient des oscillations, signature des ondes réfléchies sur la surface de la mer. Ces oscillations dépendent principalement de la hauteur de l’antenne au-dessus de l’eau et de l’état de mer.

Pierre Bosser Enseignant-chercheur à l’ENSTA/ laboratoire Lab-STICC

Ce projet, financé dans le cadre de l'appel à projets du Centre Interdisciplinaire Mers et Océan (CIMO) de l’Institut Polytechnique de Paris (vague 1) par l'Agence d'Innovation de Défense, va permettre le recrutement de plusieurs post docs sur la durée du projet ainsi que du matériel. Celui-ci sera déployé sur un site instrumenté de validation en rade de Brest courant 2026.

A l’ENSTA, l’équipe mobilisée autour de ce projet réunit des compétences en hydrographie, positionnement et calcul par intervalles. Des étudiants y contribuent également dans le cadre des projets d’application menés sur le lac de Guerlédan.

Les mesures in situ permettront à terme de mesurer l’état de mer dans un rayon de plus de 500 mètres autour des antennes. 

« Sur un volet plus prospectif, ces données pourraient être intégrées dans des modèles météorologiques et océanographiques. Elles pourraient notamment être utilisées dans le dispositif vigilance vagues-submersion » précise Pierre Bosser.

 

* GNSS ou Global Navigation Satellite System est un système de positionnement (terme générique englobant des systèmes tels que GPS, Galileo...).
 

Comprendre le projet en images

Principe théorique : 

La réflexion par une surface plane (la mer) engendre un déphasage de l'onde réfléchie qui sera tout de même observé par l'antenne réceptrice ; ce déphasage est proportionnel à la hauteur de l'antenne GNSS au-dessus de la surface réfléchissante.

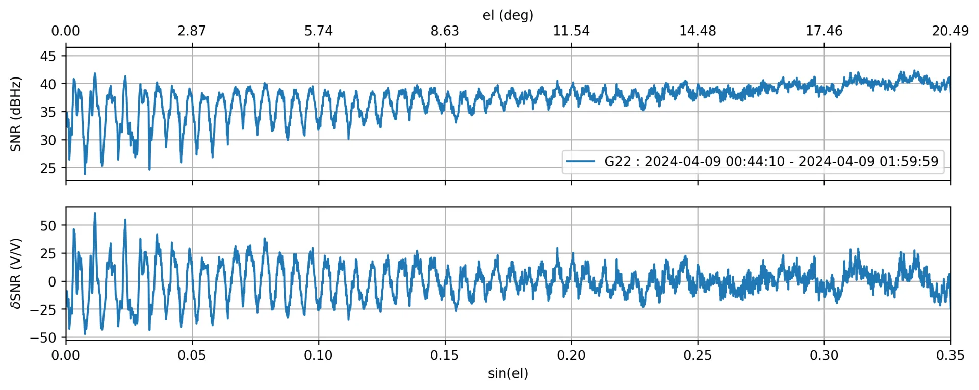
Rapport signal-à-bruit du signal mesuré par une antenne, et corrigée de la tendance (en bas) ; on observe des oscillations, dues au déphasage subit par l'onde réfléchie et dont la fréquence dépende de la longueur d'onde.

Premier résultat, obtenu dans le cadre du stage de Jules Faguet au cours de l'été 2025 : en bleu la marée observée par le marégraphe RONIM de Saint-Jean de Luz ; en orange la marée observée par réflectométrie interférométrique GNSS

Lire aussi

Nos dernières actualités

Formation | Innovation | Vie étudiante
Une équipe ENSTA remporte le challenge Energy4Climate 2026

Comment valoriser au mieux la production d’énergie renouvelable en France ? C’était la question posée par la 6e édition du Challenge Energy4Climate – Agorize à laquelle une équipe d’étudiants et étudiantes ENSTA a apporté une réponse à la fois novatrice...

Une équipe ENSTA remporte le challenge Energy4Climate 2026

Comment valoriser au mieux la production d’énergie renouvelable en France ? C’était la question posée par la 6e édition du Challenge Energy4Climate – Agorize à laquelle une équipe d’étudiants et étudiantes ENSTA a apporté une réponse à la fois novatrice...

Innovation | Recherche
Jumeaux numériques et santé : la recherche ENSTA sur France Culture

Sera-t-il un jour possible de prévoir l’évolution de nos organes vitaux et leur réaction à certains traitements, voire à la chirurgie ? Ce sont les perspectives qu’ouvrent les jumeaux numériques appliqués à la santé, domaine sur lequel portent les travaux...

Jumeaux numériques et santé : la recherche ENSTA sur France Culture

Sera-t-il un jour possible de prévoir l’évolution de nos organes vitaux et leur réaction à certains traitements, voire à la chirurgie ? Ce sont les perspectives qu’ouvrent les jumeaux numériques appliqués à la santé, domaine sur lequel portent les travaux...

Alumni | Entreprise | Formation
BALCO Boats : un chantier naval breton associant tradition et innovation

Récemment diplômé de la formation d’ingénieur par alternance en conception mécanique avec une spécialisation en architecture navale, Teys Cocset a créé avec Antoine Ballot l’entreprise BALCO Boats : un chantier naval basé en Bretagne dont le...

BALCO Boats : un chantier naval breton associant tradition et innovation

Récemment diplômé de la formation d’ingénieur par alternance en conception mécanique avec une spécialisation en architecture navale, Teys Cocset a créé avec Antoine Ballot l’entreprise BALCO Boats : un chantier naval basé en Bretagne dont le...